DOES QURANIC RECITATION WORK ON A NON-AUDIBLE CELL? AN EXPERIMENTAL STUDY IN A MONOLAYER CELLS CULTURE MODEL
DOI:
https://doi.org/10.24252/jis.v8i2.22421Abstract
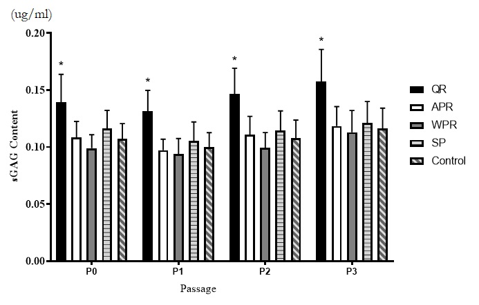
There has been a dearth in modern scientific literature addressing the effect of Quranic recitation on the physical context of beings compared to a psychological or spiritual dimension. Muslims believe that the Holy Qurʾān is Kalamullah (the words of God). This study distances itself from arguing the truthfulness of the Qurʾān. Instead, it is an effort out of curiosity to appreciate the Creator’s greatness from a scientist’s perspective. It is always room for improvement in seeking knowledge. This study aimed to evaluate the effects of Quranic recitation on non-audible primary cells using a monolayer cell culture model. Cartilages were harvested from commercially available rabbits’ knee joints (n=6). The cartilage cells (chondrocytes) were isolated, cultured, and assigned to five groups. Three cultured chondrocyte groups were exposed to Sūrat l-Fātiĥah (The Opening), ‘Arabic poem’ and ‘Western poem’ recitals. Two other groups served as controls. One was exposed to a muted sound speaker (but switched on), and another group had no exposure. All recitations were recorded and exposed to the cells in a standardized, controlled condition to allow scientific rigor and a systematic approach. A scratch assay was also performed to mimic a simple wound healing model. Post-exposure evaluations included basic cellular staining, immunocytochemistry against collagen I and II, sulfated glycosaminoglycan (sGAG) production, and cartilage-specific gene expression analysis. All cells groups showed positive reactions to the various recitals exposures. However, based on the overall findings and chondrogenic properties preservation, the group exposed to the Qurʾān exhibited better structure and function than the other groups. The results showed that the non-audible chondrocytes devoid of spiritual dimension could respond to vocal sounds. This non-invasive study indicates that a proper Quranic recitation has a healing effect and could impact physical cells better than the other recitals.Downloads
Additional Files
Published
2021-12-30
Issue
Section
Articles
